
文丘里管射流裝置的結構及工作原理
摘要:運用文丘里管改進現有的射流裝置,設計出新型的文丘里管射流裝置。闡釋了其理論模型,并根據實驗得出了經驗數據。對新型射流裝置的技術方案的合理性進行了驗證。
關鍵詞:文丘里管 射流 噴射器
隨著現代工業的加速發展,在工農業生產的諸多領域對射流技術的需求日漸廣泛。如金屬切割、打磨、工件的表面清洗等,因此,提高射流裝置的效率,降低其成本,具有重要意義。現有的液體加壓射流噴射器裝置,主要是以氣壓機與泵相結合的加壓噴射器裝置為主。進入2O世紀8O年代以來,各國多把注意力集中在如何形成一種特殊的脈沖射流發生器上,許多研究人員為此進行了大量的研究與實驗,提出了各種類型的脈沖水射流發生裝置,但對于改進射流噴頭方面并沒有太大的發展,尤其是結構的簡化方面。傳統設備在生產工藝上雖然可以滿足實際需求,但是其結構復雜、體積相對較大,且不能滿足一些特殊的要求,如強腐蝕性液體、磨液、易堵高粘稠性液體等對設備損壞較大,造成設備無法正常運行,折舊速度加快。筆者利用文丘里管結合氣壓機的射流裝置,革新了噴射器部分。在本設計中真空度主要由“文丘里管(真空泵主要構件)”產生,而且可以達到要求;若采用兩根“文丘里管”串連,則產生的真空度達原來的十幾倍。射流的壓力大小主要由速度決定,調節氣流的相關參數即可以對射流進行調節。本設計將原有普通連續水射流噴射器結構與文丘里管結構相結合,利用噴管高壓空氣流從小孔吹出的方式而使液室產生真空引力引起氣液在混合室混合。因此,可以由空氣吹出速度的大小來調節真空度的大小。該裝置減少了原有的加壓噴射器需要泵提供液體注入動力,節約了能量、減小了體積。
1 實驗裝置與結構
如圖1所示,本試驗裝置是結合原有的液體加壓設備特點,液體導人管與文丘里管的主管的角度,參考以往噴頭結構小于22°。在結構上將原有的液體加壓裝置的液泵去掉,體現了簡潔的優勢特點,降低了設備的造價,克服了以往相同設備的缺點。
圖1 文丘里管射流實驗裝置結構示意圖
壓力表1、2、3分別測量文丘里管人口、喉、出口,B1、B2分別為調節閥, α、β分別為文丘里管的前后傾角。其中α=15° β=12°,管直徑a=50 mm,文丘里管的喉部直徑b=15.6 mm,全管的長度為400 mm。
2 分析與結果
2.1 原理
文丘里管射流裝置的工作原理可以用伯努利方程和連續方程來表達:
伯努利方程:

連續方程:
V· A=常數 (2)
式中,V-流體流速,m/s;g—— 重力加速度,n;ρ—— 流體壓力,Pa;γ—— 流體比重,M/n3;z--流體勢能,m;A—— 過流截面,m2。
文丘里管的流量特征可用下式表示:

式中,Q1—— 注人文丘里管的液體量,m/s;Q2—— 文丘里管流出流量,m/s;△H- 文丘里管前后壓差,m;△p—— 文丘里管前后壓力損失,Pa;k2—— 與△H相對應的總阻力綜合參數;p1—— 并聯文丘里管的入口壓力,Pa;p2—— 并聯文丘里管的出口壓力,Pa。
支管兩端的壓力損失△H可用下式表達:

式中Σζ--支管各處(包括文丘管)的總阻力系數;v--通過支管各處的流量,m/s。
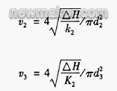
導出總阻力綜合參數k2及流速v2、v3由式(2)、(3)、(4)可以推出:

式中d- 噴管各處的直徑,m。
又由式(2)、(3)可以推出:

式中 v2—— 通過文丘里管導出的液體流速,m/s; v3—— 通過文丘里管喉部的流速,m/s。
在文丘里管的喉部應用伯努利方程(1)得:

式中p3—— 文丘里管的喉部壓力,Pa;△h1—— 文丘里管逐步縮小的壓力損失,m;△h2—— 壓力表(1)與文丘里管前端之間的壓力損失,m。
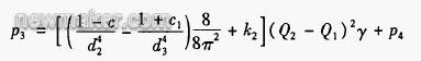
由(3)、(4)、(5)、(6)、(7)、(8)可以推出P3與△p、P4、Q2以及文丘里管結構性能參數(k2、c1 、c、d2、d3)之間的函數關系式:

式中,c1為與△h1相對應的前傾角阻力系數,c為與△h2相對的阻力系數。
根據以上推導,理論上可得出如下結論:(1)、文丘里管喉部壓力P3與前后壓力差△p成線性關系即與△H成線性關系;(2)、文丘里管喉部壓力P3與流量平方(Q2-Q1)2成線性關系。
2.2 實驗研究
建立圖1的試驗裝置,以上述特定的文丘里管射流噴射器裝置為研究對象。結合公式(3)、(9)的結論,通過調節閥b1、b2及高壓氣泵a對上述試驗裝置相關參數進行測量得到P3與△H以及Q22之間的經驗公式和關系曲線(圖2、圖3)。

通過對兩組參數的測定,所得的實測數據經線性擬合數據得p3與△H以及與Q22有如下經驗公式:
P3=-0.140△H+0.050
P3=-0.033(Q2-Q1)2 +0.430
在實際的自吸式液體加壓噴射器裝置的加工中可以通過控制參數的△H大小來對裝置的型號進行確定。在實際的生產過程中則可以通過調節流量Q22來進行適時控制。
3 結論
利用文丘里管與原有射流噴頭相結合而設計的新型射流噴射器裝置,不僅結構簡單,造價低,而且其可行性強。P3與流過的流量成線性關系(如圖2、圖3的曲線所示),經試驗分析P3在-0.9—-0.2 Mp 之間具有相當較好的獨立線性度,其獨立線性度為12.O%。通過在該范圍內調節相關參數,對需加壓液體Q1狀態進行有效控制。根據這一特征,文丘里管液體加壓噴射器裝置在實際運用中,只要喉部壓力P3在-0.9~0.2 MPa之間,控制文丘里管兩端壓差或流過的流量,就可以利用其較好的線性關系簡單地控制喉部壓力,有效地調節射流流量及強度。
采用文丘里管液體加壓噴射器較其他同類設備具有以下優點:(1)體積小,結構簡單。在實際工程運用中體積經常是一個相當重要的因素,該裝置體積較其它裝置體積大幅度減小,整個裝置重量為1 kg左右,這極大的增加其使用范圍,也方便了設備的改進。如:在工程中可以在氣液進口處改為軟管而實現其可移動使用等。(2)耗能低。該裝置的運用可以減少一些其它的設備如液泵等,即可以起到節能的效果。而且,自吸式吸人是在利用高壓氣流對液體產生的橫向力的基礎上設計,不僅克服原有采用氣壓機和液泵結合的設備垂直管注入液時高壓氣流對注入液的影響,而且利用了上述阻力。(3)運用范圍廣泛。由于其價格、體積及內部結構上的特點,該裝置較其它相同類型裝置,更加具有靈活性,方便使用于狹窄的工作環境。該裝置的前端可以設計可調換的各種噴頭的接口可,以按所需射流進行調換。其簡單的結構使其不易堵塞,而且造價較低,即使出現腐蝕或堵塞也可以直接更換,而不須在維修及設備時更換投入較大的資金。文丘里液體加壓噴射器裝置在強度及流量的調節方面具有簡便的特點,其在結構、價格及功能上的優勢為其展現了廣闊的前景。
下一篇:扭力管式浮筒液位計測量原理
版權所有 Copyright(©)2009-2011 江蘇力科儀表有限公司
電話號碼:0517-86909222 商務熱線:15305232668 傳真:0517-86909221
地址:江蘇省金湖縣工業園
技術支持:易品網站建設專家 蘇ICP備13047422號-1